HEC-RAS Pipe Network and Inlets
New Kid on the Block
I feel odd indicating that RAS is the new kid on the block here, but RAS 2D has come a long way over many years and now has pipe networks as beta elements across two releases (HEC-RAS 6.6 and HEC-RAS 6.7). Let’s explore the details.
A quick aside - this might be temporary, or is this cross-section/open channel?
The RAS Documentation outlines the thinking and calculations extremely well. HEC-RAS uses a Drop Inlet. One should assume it’s a generic inlet type vs. the Drop Grate or Drop Curb inlets in Hydraflow or Hydrology Studio.
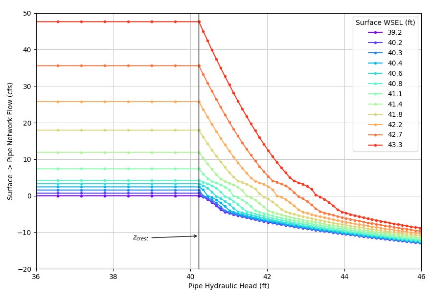
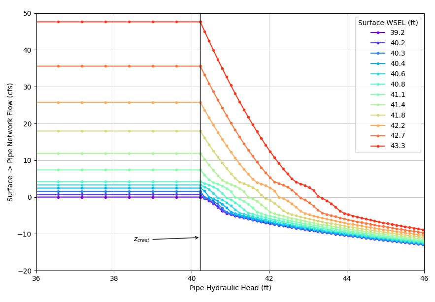
“Flow into the pipe network is computed based on a family of rating curves developed to relate flow to water surface elevations in the pipe cell and the surface cell.”
When you edit, create, or input a SWMM5 INP file, HEC-RAS establishes each inlet into a Drop Inlet, which needs Weir Length, Weir Coefficient, Orifice Area, and Orifice Coefficient.
The data required is pure engineering speak, as I don’t know of an asset registry built with those physical properties. You at least have control over the inlet parameters used to exchange water.
The colorful rating curve that RAS generates is pretty.
As an aside, there was an interesting thread via the TFMA app regarding whether users felt HEC-RAS would be the demise of commercial software. I countered that no, HEC-RAS would not replace commercial software. While the hydraulic profile is well done, it’s insufficient for design applications, sanitary sewer, or inlet design.
Just like the 2D Flow options, the Pipe System and 1D/2D Options have many knobs to tweak, all of which impact the run time.
Which can easily produce the red graph.








Informative blog and how did you get an AI to make a decent Inlet image?